EHA五分钟丨王亮教授:复发难治性霍奇金淋巴瘤——迎难而上

作者:肿瘤瞭望   日期:2021/6/22 11:23:28  浏览量:14219

肿瘤瞭望版权所有,谢绝任何形式转载,侵犯版权者必予法律追究。

编者按:2021年6月9~17日,第26届欧洲血液学协会(EHA)年会将通过在线虚拟的方式隆重举行。为给广大血液学科医生提供更新鲜、更精彩、更丰富的学术大餐,《肿瘤瞭望》特别设置了“EHA五分钟”专题报道。我们邀请业内学术大咖分别在白血病、骨髓瘤、淋巴瘤等领域,精心挑选出该领域的重磅研究,并通过语音播报的形式,为广大读者进行全面而深入地介绍、解读与总结。本文我们有幸邀请北京同仁医院血液科王亮教授针对经典霍奇金淋巴瘤领域的三项重磅研究进行了详细解读。?

本妥昔单抗联合化学疗法治疗III/IV期经典霍奇金淋巴瘤初治患者:第3阶段ECHELON-1研究的5年更新


Abstract #S205

BRENTUXIMAB VEDOTIN WITH CHEMOTHERAPY FOR PATIENTS WITH PREVIOUSLY UNTREATED, STAGE III OR IV CLASSICAL HODGKIN LYMPHOMA: A 5-YEAR UPDATE OF THE PHASE 3 ECHELON-1 STUDY (NCT01712490)


研究背景


从历史上看,几乎所有的经典霍奇金淋巴瘤(cHL)患者复发都在治疗5年内发生(Radford,BMJ 1997)。在这项III期ECHELON-1临床研究(NCT01712490)中纳入了新诊断为III / IV期cHL的患者,用本妥昔单抗,阿霉素,长春碱和达卡巴嗪(A + AVD)与阿霉素,博来霉素,长春碱和达卡巴嗪(ABVD)的治疗比较,显着改善了无进展生存期( PFS)(Connors等,NEJM 2018)。经过3到4年的随访,在意向性治疗(ITT)人群以及大多数主要患者亚组中,A + AVD与ABVD的持续研究者判断PFS获益持续不断(Bartlett,Blood 2019 ; Straus,Blood 2020)。这些改善与中期正电子发射断层扫描(PET)应用于监测疾病分期和基线疾病危险因素评分无关。


研究目的


报告了对ECHELON-1研究进行5年随访后的最新疗效和安全性结果。


研究方法


本研究在28天周期的第1天和第15天,将既往未经治疗的III / IV期cHL的患者随机接受≤6个周期的静脉注射A + AVD(n=664)或ABVD(n=670)。在第2周期后,患者进行了临时PET扫描(PET2)。在具有持续症状的患者中,延长随访时间(截止日期为2020年9月18日)后进行分析,以评估每个INV的PFS,在治疗结束时(EoT),周围神经病变(PN)的分辨率和改善情况(从最新评估的最差结果起改善≥1级),继发性恶性肿瘤发生率以及患者及其伴侣之间的妊娠率和妊娠结局。


研究结果


中位随访时间为60.9个月(95%置信区间[CI] 55.2-56.7),估计的5年PFS / INV率分别为A + AVD的82.2%(95%CI 79.0-85.0)和75.3%(95) ABVD的百分比CI为71.7-78.5)。研究者观察A + AVD相比ABVD表现出更好的PFS(危险比[HR] 0.681;95%CI 0.534-0.867;p=0.002)(表1)。在ITT人群中,估计的5年PFS中A + AVD vs ABVD在PET2阴性患者中为84.9%,而在PET2阴性患者中为78.9%(HR 0.663;95%CI 0.502-0.876;p=0.004);PET2-阴性患者中60.6%vs 45.9%。阳性(HR 0.702; 95%CI 0.393-1.255; p=0.229)。在A + AVD和ABVD组中,分别有85%和86%接受治疗的PN患者完全缓解或改善了症状。A + AVD组完成治疗后发生的PN事件的完全解决的中位时间是A + AVD组为34周(范围0-262),ABVD组为16周(范围0-267)。中位改善时间分别为49周(范围8-270)和12周(范围2-70)。A + AVD组中进行中的PN的最大严重程度为1级(17%),2级(9%),3级(3%)和4级(<1%),ABVD组中有1级(14%),2级(6%)或3级(1%)(总计= 21%)。继发性恶性肿瘤分别在A + AVD和ABVD组发生19点和29分。总共报告了131例怀孕。两组患者的持续妊娠或活产比例均相似(A + AVD和ABVD组分别为87%和75%)。


表1、无进展生存的ITT意向人群分析


研究结论


在中位随访60.9个月后,观察到A + AVD与ABVD相比,稳定而持久的治疗获益改善与疾病阶段,危险因素评分和PET2状态无关。A + AVD不需要通过临时PET2状态适应治疗,避免了博来霉素暴露。A + AVD治疗可提供持续的PFS益处和可控的安全性,并且随着时间的流逝,PN症状会改善或缓解,并且两个治疗组的妊娠率相似,这表明A + AVD对于所有先前未经治疗的III期或IV cHL患者都是有吸引力的治疗选择。


专家点评


 

霍奇金淋巴瘤经过标准治疗,大概有80%的治愈率。进一步来说,对于早期的经典性霍奇金淋巴瘤可以取得90%的治愈率;而对于晚期也就是III/IV期的患者,大概有70%的治愈率。


目前,针对晚期的初治霍奇金淋巴瘤患者有两种策略:第一个就是所谓的“升阶梯治疗”,比如我们最开始先用两个疗程的ABVD方案治疗,如果说PET2检查是阳性的话,我们改为剂量增强的BEACOPP方案。另外一种策略的话就是“降阶梯治疗”,开始即采用剂量增强的BEACOPP方案治疗,两个疗程之后复查PET。如果说PET2转为阴性,则降阶梯为普通的ABVD方案,或者说标准剂量的BEACOPP方案。以上两种策略在临床上比较常见,均能够给患者带来获益。但是,剂量增强的BEACOPP方案有一定的毒性,比如说年轻的患者可能会面临一个长期的生育方面的毒性。在中国,我们还存在一个药物可及性的问题,比如说博莱霉素和甲基苄肼,目前很多单位都拿不到这种药物。此外博莱霉素可能会导致一个潜在的肺毒性。


经典型霍奇金淋巴瘤,多数肿瘤细胞表面CD30呈强阳性表达,将近90%~100%的患者都存在CD30的一致性表达,因此CD30对于霍奇金淋巴瘤来说是一个非常好的治疗靶点。目前靶向CD30的BV单抗在复发难治的经典霍奇金淋巴瘤中可以看到非常好的效果。该项国际、大型、III期随机对照研究ECHELON-1,是采用AVD方案联合BV单抗与ABVD做一个随机对照这样一个研究。在今年的EHA大会上进行了长期随访数据的更新。


我们可以看到,AVD方案联合BV单抗组在5年PFS方面仍然有持续的获益,5年PFS率显著优于ABVD方案。同时根据PET2的表达进行预后分层, 如果PET2阳性,患者的预后更差。但无论PET2是阳性还是阴性组,采用AVD方案联合BV单抗治疗组,疗效均显著优于ABVD组。


对于老年患者,尤其是老年、PET2阳性的患者,其预后较差。因此,我们在考虑是否应该将PD 1单抗应用于到老年高危的患者中,以进一步改善患者生存,这也是值得我们去探索的方向。


此外,有关BV单抗的神经毒性是大家比较关注的点。在ECHELON-1研究的长期随访过程中发现,发生周围神经毒性的这些患者绝大多数不良反应都得到改善或缓解,另外两组治疗的妊娠率是相似的,也就是BV单抗治疗并不影响生育。因此,对于年轻的霍奇金淋巴瘤患者而言AVD方案联合BV单抗是一个非常不错的选择。


卡瑞利珠单抗于复发或难治性经典霍奇金淋巴瘤:三年多中心研究phase II研究


Abstract #S206

CAMRELIZUMAB FOR RELAPSED OR REFRACTORY CLASSICAL HODGKIN LYMPHOMA: THREE-YEAR OUTCOME OF A MULTICENTER, PHASE 2 STUDY


研究背景


卡瑞利珠单抗(Camrelizumab针对PD-1的人源化高亲和力IgG4 mAb)在复发性或难治性经典霍奇金淋巴瘤(r / r cHL)患者中显示出有效的抗肿瘤活性,同时具有良好的耐受性和可控的安全性,基于多中心2期研究(ClinicalTrials.gov,NCT03155425)。卡米珠单抗的长期疗效和安全性值得评估。我们在此报告有关卡瑞利珠单抗在r / r cHL患者中的反应持久性,生存获益和长期药物安全性的扩展随访数据。


研究方法


在2017年6月9日至2017年9月18日之间,本研究共招募了75例自体干细胞移植后未达到缓解或经历疾病进展的患者,或接受了至少两线系统化疗的患者。Camrelizumab每两周一次给予200毫克的剂量。主要终点是每个独立审核委员会(IRC)的客观回应率。


研究结果


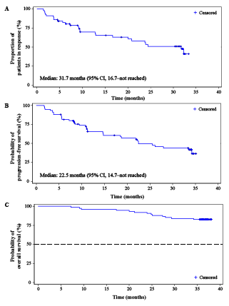
截至2020年8月31日,中位随访时间为36.2个月(范围7.2-38.1)。根据IRC评估,在57例患者中达到了客观缓解(76.0%;95%CI,64.7-85.1),与初步分析的结果相似。Kaplan-Meier估计的中位反应持续时间为31.7个月(95%CI,未达到16.7;图1A)。截止数据时,有50.7%的患者(38/75)病情恶化或死亡。中位无进展生存期为22.5个月(95%CI,未达到14.7;图1B)。发生了十三例(17.3%)死亡,并且未达到中位总生存期(图1C)。36个月的OS率为82.7%(95%CI,72.0-89.5)。


最常见的治疗相关不良事件(TRAE)包括反应性毛细血管内皮细胞增殖(RCEP; 73/75,97.3%),发热(33/75,44.0%),上呼吸道感染(27/75,36.0%),和甲状腺功能减退(24/75,32.0%)。尽管发病率很高,但所有RCEP的严重程度均为1级(59/73,80.8%)或2级(14/73,19.2%)。通常,RCEP在治疗的早期发生。中位发病时间为0.9个月(范围为0.1-2.5)。RCEP的再次发生非常罕见(在12个月后仍接受卡雷珠单抗治疗的42例患者中有8例,占19.0%;在24个月后仍接受卡雷珠单抗治疗的32例患者中有2个,占6.3%)。在73例患者中有49例(67.1%)观察到所有RCEP病变的完全缓解,并且回归的中位时间为8.2个月(范围1.7-30.8)。26例(34.7%)患者报告了3或4级TRAE。没有发生与治疗有关的死亡。TRAE导致仅5名(6.7%)患者中止治疗。没有发现新的安全信号。


图1、治疗反应持续时间、无进展生存和总体生存


研究结论


随着长期随访,Camrelizumab单药治疗继续为r / r cHL患者提供有效而持久的反应,延长无进展生存和总体生存率,以及可控的安全性。


专家点评

 

霍奇金淋巴瘤的肿瘤细胞表面存在PDL 1的过表达,同时在霍奇金淋巴瘤肿瘤标本中,我们可以看到大量的炎性细胞的浸润,因此霍奇金淋巴瘤患者采用PD1单抗治疗有较好的理论基础。目前已有多种PD1单抗获批,在治疗复发难治的霍奇金淋巴瘤患者中取得了很好的效果。


在今年EHA大会上,国产PD1单抗卡瑞丽珠单抗治疗复发难治的经典霍奇金淋巴瘤患者的长期随访的结果进行了口头交流。这项研究前期取得了非常好的效果,目前已经中位随访达到三年的时间,其总体缓解率高达76%,与初步的分析结果相似。


同时我们发现一旦治疗有效的患者,其中位反应持续的时间会比较久,可以达到31.7个月。这与其他PD 1单抗总体上比较相似,即一旦有效,则疗效持续时间比较久的特点。卡瑞丽珠单抗治疗复发难治的经典霍奇金淋巴瘤患者三年的总体OS率为82.7%,比我们既往采用普通的化疗或者说移植来巩固,在治疗效果上有显著改善。


卡瑞丽珠单抗一个比较特殊的不良事件是反应性毛细血管内皮增生症,在这项研究中报道有97.3%的患者发生,绝大多数都是一级或者二级,并且绝大多数患者在中位8个月左右的时间得到缓解,缓解后再用药,则很少再次发生。同时,在这项研究中有32%的患者发生甲状腺功能减退,这也是PD1单抗比较常见的一个内分泌系统的不良反应,我们需要定期的去监测患者的甲状腺功能,如有出现临床症状,可以给予优甲乐支持治疗。总之,上述不良反应为可控范围,经过长期随访,没有发现一些新的安全事件。


总体来说,卡瑞丽珠单抗单药治疗复发难治的霍奇金淋巴瘤患者可以提供比较持久而有效的一个反应,临床上值得广泛推广。同时,我们也可以在一些初治的晚期霍奇金淋巴瘤患者中进行PD1单抗一线治疗的尝试,使这些晚期高危的患者能够取得一个更加长期的生存。


F-FDG PET放射组学定量分析在174例复发/难治性霍奇金淋巴瘤中的预测价值


Abstract #S208

PREDICTIVE VALUE OF QUANTITATIVE 18F-FDG-PET RADIOMICS ANALYSIS IN 174 PATIENTS WITH RELAPSED/REFRACTORY HODGKIN LYMPHOMA


研究背景


约20%的经典霍奇金淋巴瘤(cHL)患者为复发/一线方案难治性,需要二线治疗后桥接自体干细胞移植。目前没有标准的二线疗法,且并非所有患者都需要如此积极的方案来实现治愈。基于危险分层的个体化挽救性治疗方案可以使高风险患者获得更优的疾病控制,而低风险患者的承受更低的治疗相关不良反应。基线18F-FDG-PETCT放射组学定量分析可在临床评估的基础上进行更全面的危险分层评估补充。本研究的目的是利用临床和PET-CT预测复发/难治性cHL患者的3年 TTP。


研究方法


我们分析了来自3个临床试验中分别接受ICE、ICE联合维布妥昔单抗 (BV)及DHAP联合BV治疗的r/r cHL患者的基线18F-FDG-PET-CT扫描数据。我们使用了以下参数构建临床风险预测模型:原发难治性vs复发、年龄、Ann Arbor分期和B症状。采用半自动分割方法计算肿瘤代谢体积(MTV),且标准化摄取值(SUV)≥4.0。放射组学特征提取符合图像生物标志物标准化倡议。我们使用logistic回归和基于放射组学鲁棒性的后向选择构建预测模型,例如SUVpeak(最高1mL region FDG uptake)和一些新的弥散特征,代表了患者病灶体积和SUV值的的弥散性和差异。对死亡时无疾病进展的患者在死亡时进行审查。在接受BV +化疗的患者身上进行模型训练。通过计算ROC曲线下方面积(AUC)和2000次重复5 folds交叉验证(CV)来评估模型预测效能。预测结果使用仅接受化疗的队列进行验证。根据训练集中事件发生率(22/110;20%)定义高危组。


研究结果


我们纳入174例r/r cHL患者;110例划分至训练集 (BV-DHAP和BV-ICE队列),64例划分至验证集(ICE队列)。训练集(tAUC)上的AUC为0.81,CV-AUC为0.76,验证集(vAUC)上的AUC为0.74。


放射组学分析挑选出6个PET特征:MTV和5个分散性特征。放射组学模型显示tAUC为0.73,CV-AUC为0.63,vAUC为0.70。结合临床和放射学参数,tAUC为0.90,CV-AUC为0.79,vAUC为0.77。


训练集中高危组(n=22)患者的3年TTP为38%,而低危组(n=88)患者的3年TTP为90% (p<0.0001)(图2A)。在验证集中,高危组(n=13)患者的3年TTP为39%,而低风险组(n=51)患者的3年TTP为80% (p=0.0011)(图2B)。在图2C中,我们分别展示了高危险评分和低危险评分的两名IV期患者PET-CT扫描结果。


图3、训练组、验证组生存曲线分析,PET-CT扫描结果


研究结论


本研究为首次在如此大规模r/r cHL患者队列中进行放射组学分析。在一个独立验证队列中,结合放射组学和临床特征构建强预测效能模型,其3年TTP的tAUC为0.90,CV-AUC为0.79,vAUC为0.77。该模型使用鲁棒性PET特征,解决了距离、代谢量和SUV等病灶间异质性的问题。因此,该模型适用于临床试验,可指导基于危险分层的r/r cHL治疗。


专家点评


PET-CT评估对于霍奇金淋巴瘤的疗效、预后判断有非常重要的价值。对于初治进展期的患者,可以根据中期PET-CT的阳性或阴性来选择升阶梯或者降阶梯治疗,进一步指导临床上的治疗。对于复发难治的霍奇金淋巴瘤患者,在基线水平的PET-CT检查是否可以用于预测疾病预后呢?


该项研究纳入了100多名患者,这些患者接受了常规的二线治疗方案,联合BV单抗,或者单用化疗作为挽救治疗的一些人群。研究采用一个新的方法,也就是所谓的影像组学——识别很多个微小的特征,然后再采用生物信息学统计方法,筛选出与患者预后最相关的5个特征,结合一些临床特征组建出预后模型。通过该模型,可以筛选出复发高危的患者人群,提示后续采取更强的巩固治疗使患者获益。而对于一些非常低危的患者,或许我们通过二线治疗之后,有可能不再需要自体干细胞移植的巩固治疗,可以获得长期的生存。


当然,这项研究只是一个回顾性的研究,而且所用的挽救治疗方案也并不完全一致。因此这个结论有待于在更大样本量的前瞻性研究中进行验证。同时,我们从结果图上可以看出,霍奇金淋巴瘤不仅是不同患者之间存在差异性,其实在患者体内不同的肿块之间也可能存在异质性。而根据PET-CT的一些微小特征,似乎能够识别不同瘤病灶之间的差异,这对于我们今后的研究具有一定的启示意义。


专家简介

王亮教授

毕业于北京协和医学院,医学博士

主任医师,学术带头人(主持科室工作)

首都医科大学附属北京同仁医院 血液科

入选2020年度“北京市医管局青苗计划”

入选2020年度“同仁医院青年杰出人才”计划

荣获“敬佑生命·2017荣耀医者-青年创新奖”

中华医学会血液学分会第十一届青年委员会委员

中国医药教育协会骨髓瘤专业委员会常务委员

擅长淋巴瘤等血液系统恶性肿瘤的诊治

主持国家自然科学基金等多项课题,发表SCI论文多篇,部分成果被NCCN指南引用

本内容仅供医学专业人士参考


血液

分享到: 更多