当前位置:肿瘤瞭望>资讯>快讯>正文

ADC小课堂丨良马配金鞍,ADC一定要用可裂解的连接子吗?

作者:肿瘤瞭望   日期:2025/5/14 11:15:45  浏览量:6444

肿瘤瞭望版权所有,谢绝任何形式转载,侵犯版权者必予法律追究。

抗体药物偶联物(Antibody-drug conjugates,ADCs)是近年来癌症靶向治疗领域的重要突破,它将单克隆抗体的高靶向性与细胞毒性药物的高效杀伤力相结合。作为ADC三大核心组成部分之一,连接子(linker)在确保药物稳定递送和精准释放中起着关键作用。Chis AA等人发表的文章[1],系统介绍ADC连接子的分类、特性、设计原则及最新研究进展,本期“ADC小课堂”总结了可裂解与不可裂解连接子的化学特性、作用机制及其在已获批ADC药物中的应用,以及连接子技术面临的挑战与未来发展方向。

编者按:抗体药物偶联物(Antibody-drug conjugates,ADCs)是近年来癌症靶向治疗领域的重要突破,它将单克隆抗体的高靶向性与细胞毒性药物的高效杀伤力相结合。作为ADC三大核心组成部分之一,连接子(linker)在确保药物稳定递送和精准释放中起着关键作用。Chis AA等人发表的文章[1],系统介绍ADC连接子的分类、特性、设计原则及最新研究进展,本期“ADC小课堂”总结了可裂解与不可裂解连接子的化学特性、作用机制及其在已获批ADC药物中的应用,以及连接子技术面临的挑战与未来发展方向。
 
连接子的功能与设计原则
 
连接子是连接抗体与细胞毒性载荷(payload)的桥梁,其设计直接影响ADC的药代动力学特性和治疗效果。一个理想的连接子需要在血液循环中保持高度稳定性,防止载荷过早释放导致全身毒性,同时在到达靶细胞后能高效释放活性药物分子。根据释放机制的不同,连接子主要分为可裂解(cleavable)和不可裂解(non-cleavable)两大类(表1)。
 
表1.ADC中连接子的分类
 
连接子的设计需满足以下关键要求:
 
血浆稳定性:在血液循环中保持完整,避免载荷过早释放导致脱靶毒性;
 
靶细胞内高效释放:在肿瘤微环境或细胞内特定条件下快速释放活性药物;
 
水溶性:确保ADC具有良好的溶解性和生物分布特性;
 
抗体结合特异性:连接子与抗体的结合不应影响其与靶抗原的结合能力。
 
此外,连接子的选择还需考虑与抗体和载荷的兼容性。不同的偶联化学(如通过半胱氨酸或赖氨酸残基)会影响连接子的稳定性和药物的释放动力学。
 
可裂解连接子及其作用机制
 
可裂解连接子能够在肿瘤微环境中或细胞内特定条件下发生断裂,释放载荷。根据裂解机制的不同,可进一步分为化学可裂解和酶可裂解两大类。
 
1、pH敏感连接子
 
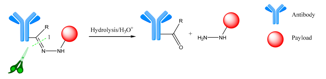
pH敏感连接子利用肿瘤组织(pH 6.5-7.0)和内涵体/溶酶体(pH 4.8-5.5)的酸性环境与血液(pH 7.4)之间的pH梯度实现选择性药物释放。这类连接子通常含有酰肼键(hydrazone),在酸性条件下发生水解(图1)。典型的例子是BR96-阿霉素(BR96-Dox),该ADC通过6-马来酰亚胺基己酰基酰肼连接子将阿霉素与抗Lewis Y抗体BR96相连。
 
图1.含酰肼键的连接子(1为连接子水解位点)
 
然而,pH敏感连接子在生理条件下的稳定性较差,可能导致药物过早释放。例如,Gemtuzumab ozogamicin(GO)在48小时内会释放约50%的载荷,这与其肝毒性风险增加有关[2]。为了提高稳定性,研究人员开发了更复杂的酸敏感结构,如缩醛和碳酸酯衍生物。
 
2、还原敏感连接子
 
还原敏感连接子含有二硫键(-S-S-),可被肿瘤细胞内高浓度的谷胱甘肽(GSH,2-10 mM)还原裂解,而在血液中(GSH约2-20μM)保持稳定。这类连接子的设计通常会在二硫键周围引入空间位阻,以增强血浆稳定性。例如,Cantuzumab ravtansine(huC242-SPDB-DM4)使用二硫键连接子将抗肿瘤抗体huC242与微管抑制剂DM4相连。该ADC首先通过蛋白酶裂解,随后二硫键被胞浆GSH还原,释放出活性药物。
 
还原敏感连接子的优势在于能够产生中性载荷,这些载荷可扩散至邻近肿瘤细胞,产生“旁观者效应(bystander effect)”,对异质性表达的肿瘤尤其有效。但二硫键也可能被血浆中的硫醇分子攻击,导致提前释放,因此现代ADC设计中常采用更稳定的二硫键衍生物。
 
3、肽基连接子
 
肽基连接子通过肿瘤细胞内高表达的蛋白酶(如组织蛋白酶B)实现选择性裂解。最常用的肽序列包括缬氨酸-瓜氨酸(Val-Cit)和苯丙氨酸-赖氨酸(Phe-Lys),其C端与自毁型(auto-immolative)间隔基如对氨基苄氧羰基(PABC)相连。这类连接子在血浆中非常稳定,因为血清蛋白酶抑制剂和中性pH环境抑制了蛋白酶的活性。典型的例子是Trastuzumab Deruxtecan(T-DXd),该ADC通过酶敏感的GGFG四肽连接子将抗HER2抗体与拓扑异构酶I抑制剂(DXd)相连(图2)[3]
 
图2.T-DXd的药物结构:蓝色部分为四肽连接子;红色部分为载荷DXd
 
值得注意的是,在动物模型中发现一种未知的丝氨酸蛋白酶可能裂解这种连接子[4],这提示我们需要更全面地评估肽基连接子的稳定性。近年来,新型肽基连接子不断涌现,如含有β-丙氨酸的间隔基可降低疏水性,改善ADC的药代动力学特性。
 
4、β-葡萄糖醛酸苷基连接子
 
β-葡萄糖醛酸苷酶是一种溶酶体水解酶,在肿瘤组织中活性较高。β-葡萄糖醛酸苷连接子利用这一特性实现载荷的靶向释放。这类连接子的优势在于其良好的水溶性和高稳定性,且可通过引入自毁型基团进一步优化药物释放特性。β-葡萄糖醛酸苷连接子已成功用于多种载荷的递送,包括奥瑞他汀衍生物、阿霉素前体药等。此外,该技术还扩展到其他类别的细胞毒剂,如蒽环类、喜树碱衍生物、紫杉烷类等。
 
5、磷酸基连接子
 
磷酸基连接子(如焦磷酸二酯)具有优异的水溶性和稳定性,在进入溶酶体后能被焦磷酸酶和磷酸酶快速裂解,释放未修饰的活性药物。一种特殊的焦磷酸酶敏感连接子已用于抗CD70 ADC,可释放含羟基的载荷如地塞米松。
 
不可裂解连接子及其特点
 
不可裂解连接子(如硫醚或马来酰亚胺己酰基)在血浆中表现出极高的稳定性,载荷的释放依赖于抗体在溶酶体中的完全降解。这类连接子通常具有不同的长度、极性和柔韧性,可根据具体应用进行定制。最典型的例子是Trastuzumab Emtansine(T-DM1),其中细胞毒性药物DM1通过N-琥珀酰亚胺基-4-(N-马来酰亚胺甲基)环己烷-1-羧酸酯(SMCC)连接子与抗HER2抗体曲妥珠单抗的赖氨酸残基相连(图3)。这类ADC的代谢产物(如Lys-SMC-DM1)通常带有电荷,细胞膜渗透性差,因此不会产生明显的旁观者效应。
 
图3.T-DM1的药物结构:1.不可裂解的SMCC连接子(蓝色);2.载荷DM1(红色)
 
不可裂解连接子的主要优势在于血浆稳定性高,可能提供更宽的治疗窗口。由于ADC整体结构稳定,预计能减少脱靶毒性。然而,这类连接子对抗体内化效率的依赖性更高,仅适用于靶抗原高表达且内化效率高的肿瘤。
 
连接子技术的挑战与未来展望
 
尽管连接子技术取得了显著进展,但仍面临诸多挑战。首先,连接子的稳定性与药物释放效率之间存在固有的平衡关系——过于稳定的连接子可能导致药物释放不足,而不稳定的连接子则会引起全身毒性。其次,不同肿瘤类型的微环境差异(如pH、还原物质浓度、酶表达谱)要求连接子设计必须考虑个体化因素。
 
未来ADC连接子技术的发展方向包括:
 
新型触发机制:开发响应肿瘤特异性标志物(如活性氧物种、特定金属离子)的智能连接子;
 
双功能连接子:在同一ADC中整合多种释放机制,以应对肿瘤异质性;
 
结构优化:通过引入聚乙二醇(PEG)等亲水基团改善连接子的溶解性和药代动力学特性,如sacituzumab govitecan和loncastuximab tesirine等新型ADC;
 
定点偶联技术:结合生物正交化学和蛋白质工程,实现连接子在抗体特定位点的精确偶联,提高ADC的均一性和治疗指数。
 
金属介导的连接子是一个新兴研究方向,基于钯、钌、铜和铂等金属的裂解系统可实现对外源性触发剂的响应性药物释放。例如,Wang等人开发的铜触发生物正交裂解反应可用于蛋白质和细胞表面的可逆修饰[5]。
 
总之,连接子作为ADC的核心组件,其设计直接影响药物的安全性、有效性和治疗窗口。随着对肿瘤生物学和化学生物学理解的深入,连接子技术正朝着更精准、更可控的方向发展。未来,通过整合多学科知识,包括化学、生物学和材料科学,我们有望开发出新一代智能连接子系统,为癌症靶向治疗提供更强大的工具。
 
▌参考文献:
 
[1]Chis AA,Dobrea CM,Arseniu AM,et al.Antibody-Drug Conjugates-Evolution and Perspectives.Int J Mol Sci.2024;25(13):6969.Published 2024 Jun 26.doi:10.3390/ijms25136969
 
[2]Doronina SO,Toki BE,Torgov MY,et al.Development of potent monoclonal antibody auristatin conjugates for cancer therapy.Nat Biotechnol.2003;21(7):778-784.doi:10.1038/nbt832
 
[3]Balamkundu S,Liu CF.Lysosomal-Cleavable Peptide Linkers in Antibody-Drug Conjugates.Biomedicines.2023;11(11):3080.Published 2023 Nov 16.doi:10.3390/biomedicines11113080
 
[4]Sheyi R,de la Torre BG,Albericio F.Linkers:An Assurance for Controlled Delivery of Antibody-Drug Conjugate.Pharmaceutics.2022;14(2):396.Published 2022 Feb 11.doi:10.3390/pharmaceutics14020396
 
[5]Wang W,Zhang X,Huang R,et al.In situ activation of therapeutics through bioorthogonal catalysis.Adv Drug Deliv Rev.2021;176:113893.doi:10.1016/j.addr.2021.113893
 
材料编码CN-20250513-00005,本资料仅供医疗卫生专业人士参考,请勿向非医疗卫生专业人士发放

本内容仅供医学专业人士参考


抗体药物偶联物

分享到: 更多